STTs for Signal Temporal Logic (STL) Tasks

A closed-form, model-free control framework for general STL specifications using Spatiotemporal Tubes

Signal Temporal Logic (STL) enables rich task descriptions involving deadlines, sequencing, logical constraints, and safety requirements. However, existing STL control frameworks do not scale to complex specifications or unknown dynamics.

This project develops a Spatiotemporal Tube (STT)-based control framework for general STL specifications in unknown nonlinear systems.

The STT generation framework.

The method:

  • reformulates STL robustness constraints as a robust optimization problem (ROP),
  • converts it into a tractable scenario optimization program (SOP),
  • constructs STTs ensuring positive STL robustness, and
  • uses an approximation-free, closed-form controller to keep trajectories inside the tubes.

The resulting control strategy is model-free, supports general STL, and requires no real-time optimization.


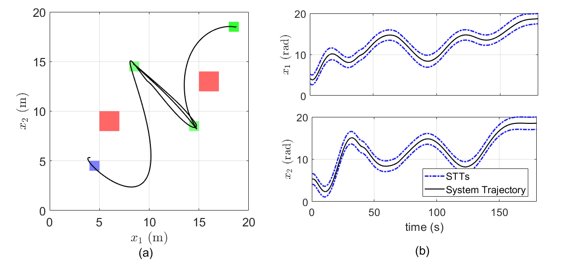
Omnidirectional Robot

This STL task requires the robot to switch between $T_1$ and $T_2$ every 3–4 time units until time 13, reach and stay in the region $G$ from time 17 to 20, and avoid $O_1$ and $O_2$ for the first 20 time units, starting from $S$.

The robot safely reaches the target within the prescribed time while avoiding all obstacles.

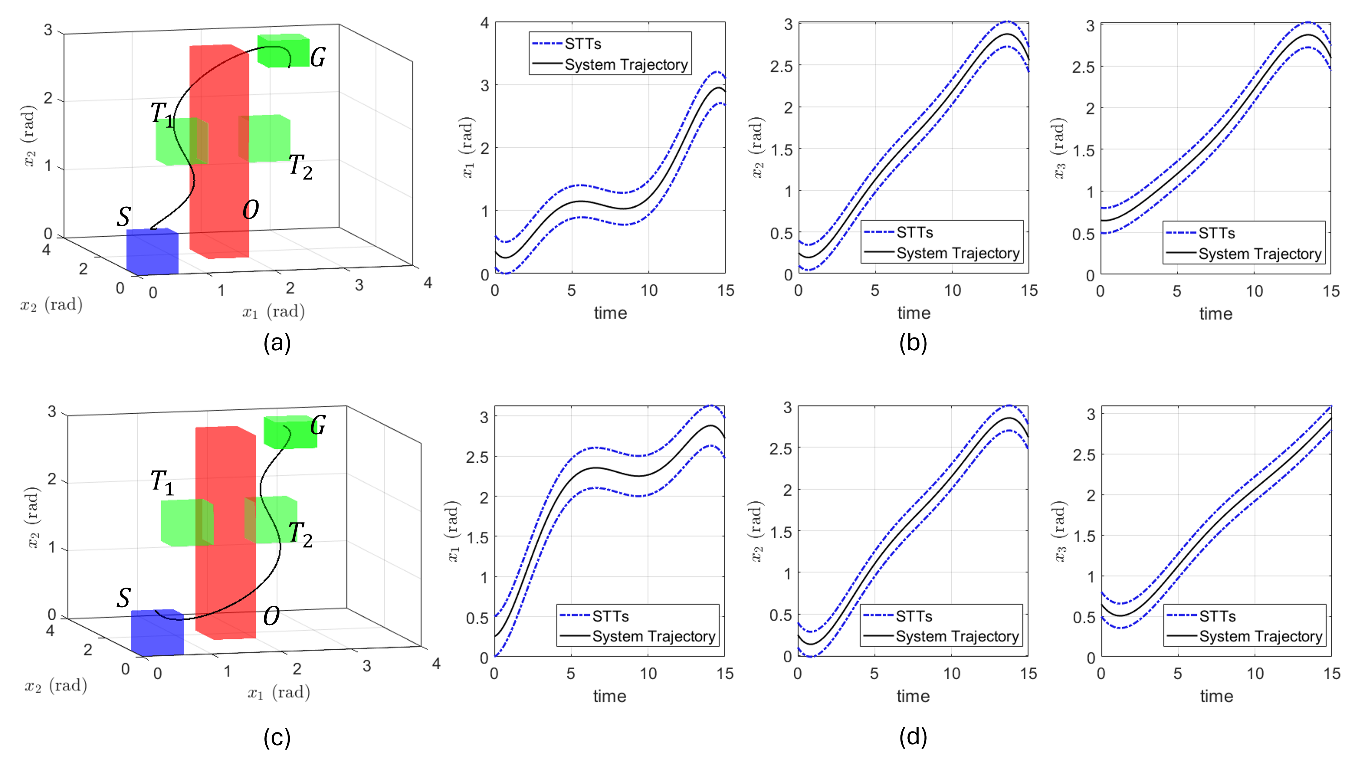
Rotating Rigid Spacecraft

This is a sequential STL task, in which the spacecraft, starting from $S$, must eventually reach either region $T_1$ or $T_2$ between 7 and 8 seconds. Then, it must “eventually” proceed to the goal region $G$ between 14 and 15 seconds. Additionally, the spacecraft must avoid the unsafe set $O$ at all times from 0 to 15 seconds.

Handles time-varying unsafe intervals while reaching the target at the specified time.

Related Publication

Approximation-Free Control for Signal Temporal Logic Specifications Using Spatiotemporal Tubes
R. Das, S. Choudhury, P. Jagtap
IEEE Control Systems Letters (L-CSS), 2025

Read the paper


References